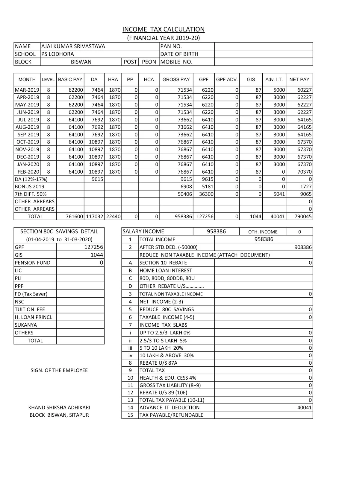
मुख्यपृष्ठइनकम टैक्स Income tax form 2019-20 बेसिक शिक्षकों के आयकर आगणन फार्म डाउनलोड करें byKamal Kripal •फ़रवरी 04, 2020 Income tax form 2019-20 बेसिक शिक्षकों के आयकर आगणन फार्म डाउनलोड करेंIncome tax form 2019-20 बेसिक शिक्षकों के आयकर आगणन फार्म डाउनलोड करें Tags: इनकम टैक्स Income Tax useful form Facebook Twitter