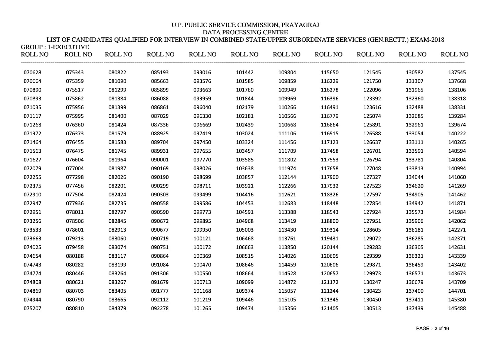
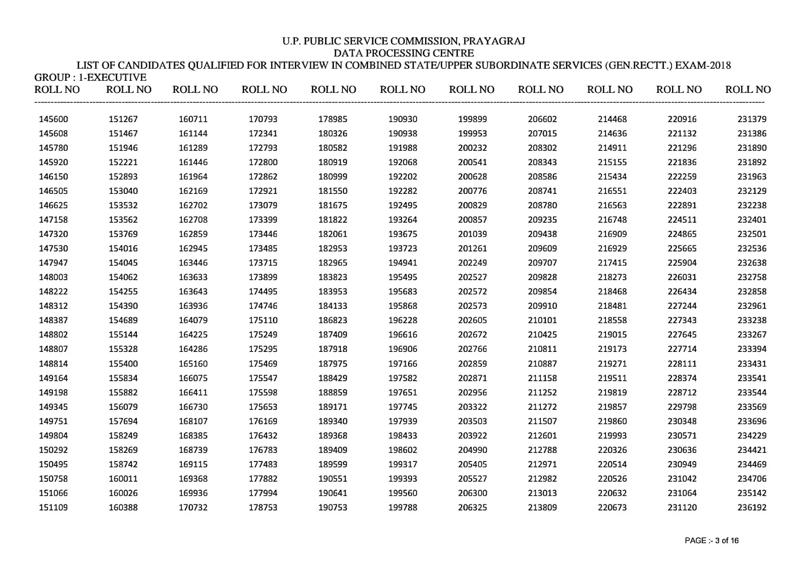
मुख्यपृष्ठshasanadesh UP PCS 2018 Mains exam result Declared Click to Download byAdmin •जून 23, 2020 UP PCS 2018 Mains exam result Declared Click to Download Tags: shasanadesh Facebook Twitter