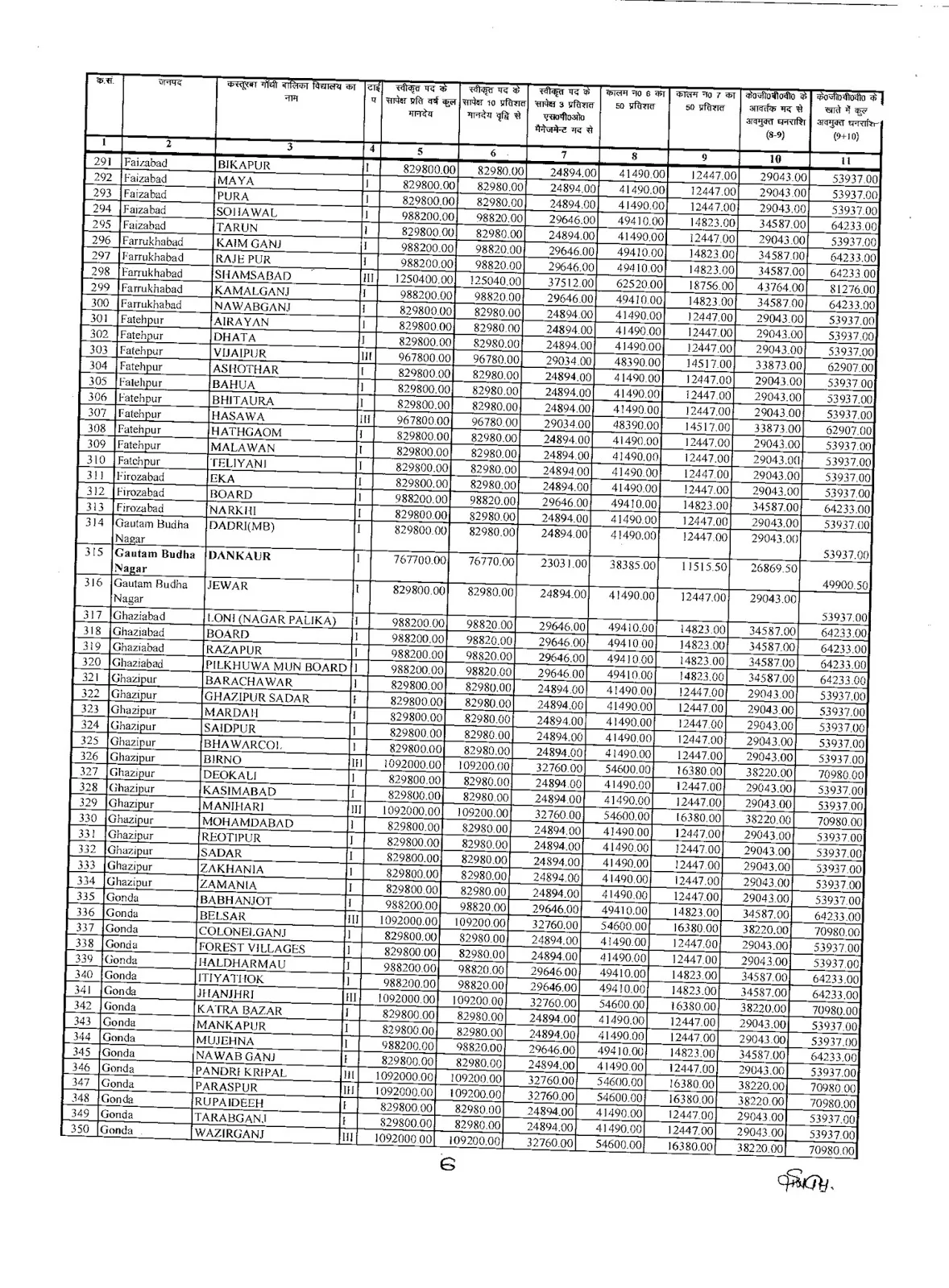
कस्तूरबा गाँधी आवासीय बालिका विद्यालयों में तैनात संविदा कार्मिको के ईपीएफ नियोक्ता अंशदान का भुगतान किये जाने के संबंध में जारी शासनादेश देखें - Kgbv EPF Related Govt order

कस्तूरबा गाँधी आवासीय बालिका विद्यालयों में तैनात संविदा कार्मिको के ईपीएफ नियोक्ता अंशदान का भुगतान किये जाने के संबंध में जारी शासनादेश देखें - Kgbv EPF Related Govt order


और नया पुराने