छत्रपति शाहूजी महाराज कानपुर में 1976 से 2006 तक की डिग्रियों का 15 जून से 7 जुलाई तक कैम्प लगाकर होगा वितरण, पूरी विज्ञप्ति व प्रोसीजर जाने - csjmu degree distribution camp 2021

छत्रपति शाहूजी महाराज कानपुर में 1976 से 2006 तक की डिग्रियों का 15 जून से 7 जुलाई तक कैम्प लगाकर होगा वितरण, पूरी विज्ञप्ति व प्रोसीजर जाने - csjmu degree distribution camp 2021

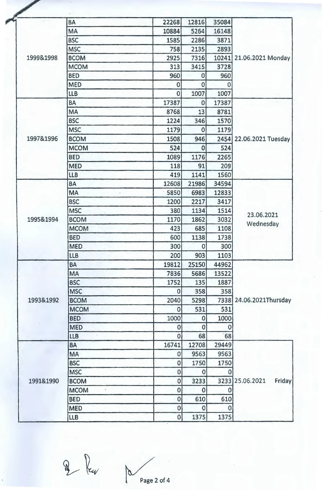
जिसने कानपुर विश्वविद्यालय से सन 1976 से 2006 के दौरान डिग्री कोर्स किया और अपनी उपाधि प्रमाण पत्र नही लिया है वे उपाधियां बनी रखी है जिनके वितरण हेतु कैम्प लगाकर दि0 15/06/21 से 07/07/21 तक किया जएगा जिनको उपाधि प्राप्त करनी हो निर्धारित शुल्क संबंधित पाठ्यक्रम के अंकपत्र के साथ उक्त दिवसों उपस्थित होकर प्राप्त कर ले ।

*सभी वर्षों के अंकपत्र की छायाप्रतियां जमा करके एवम एक पहचानपत्र (मूलरूप)साथ लेकर जाएं डिग्री प्राप्त करें*
देखें किस तिथि को आपको मिलेगी डिग्री👇
और नया पुराने