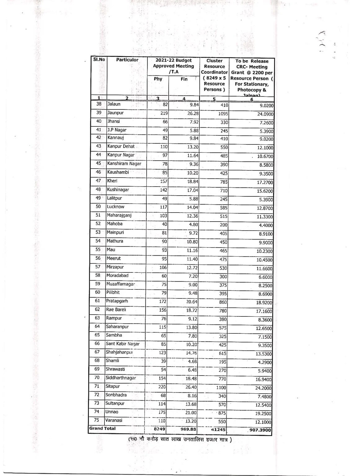
शिक्षक संकुल द्वारा शिक्षकों की मासिक बैठक हेतु 11000 ₹ प्रति न्याय पंचायत की दर से बजट जारी, बैठक एजेंडा देखें | Monthly meeting of teachers by teacher cluster
byAdmin•
शिक्षक संकुल द्वारा शिक्षकों की मासिक बैठक हेतु 11000 ₹ प्रति न्याय पंचायत की दर से बजट जारी, बैठक एजेंडा देखें | Monthly meeting of teachers by teacher cluster
Znznzn
शिक्षक संकुल द्वारा शिक्षकों की मासिक बैठक हेतु 11000₹ प्रति न्याय पंचायत की दर से धनराशि एवं बैठक एजेंडा जारी
UpdateMarts / by noreply@blogger.com (updatemarts) / 13h
शिक्षक संकुल द्वारा शिक्षकों की मासिक बैठक हेतु 11000₹ प्रति न्याय पंचायत की दर से धनराशि एवं बैठक एजेंडा जारी