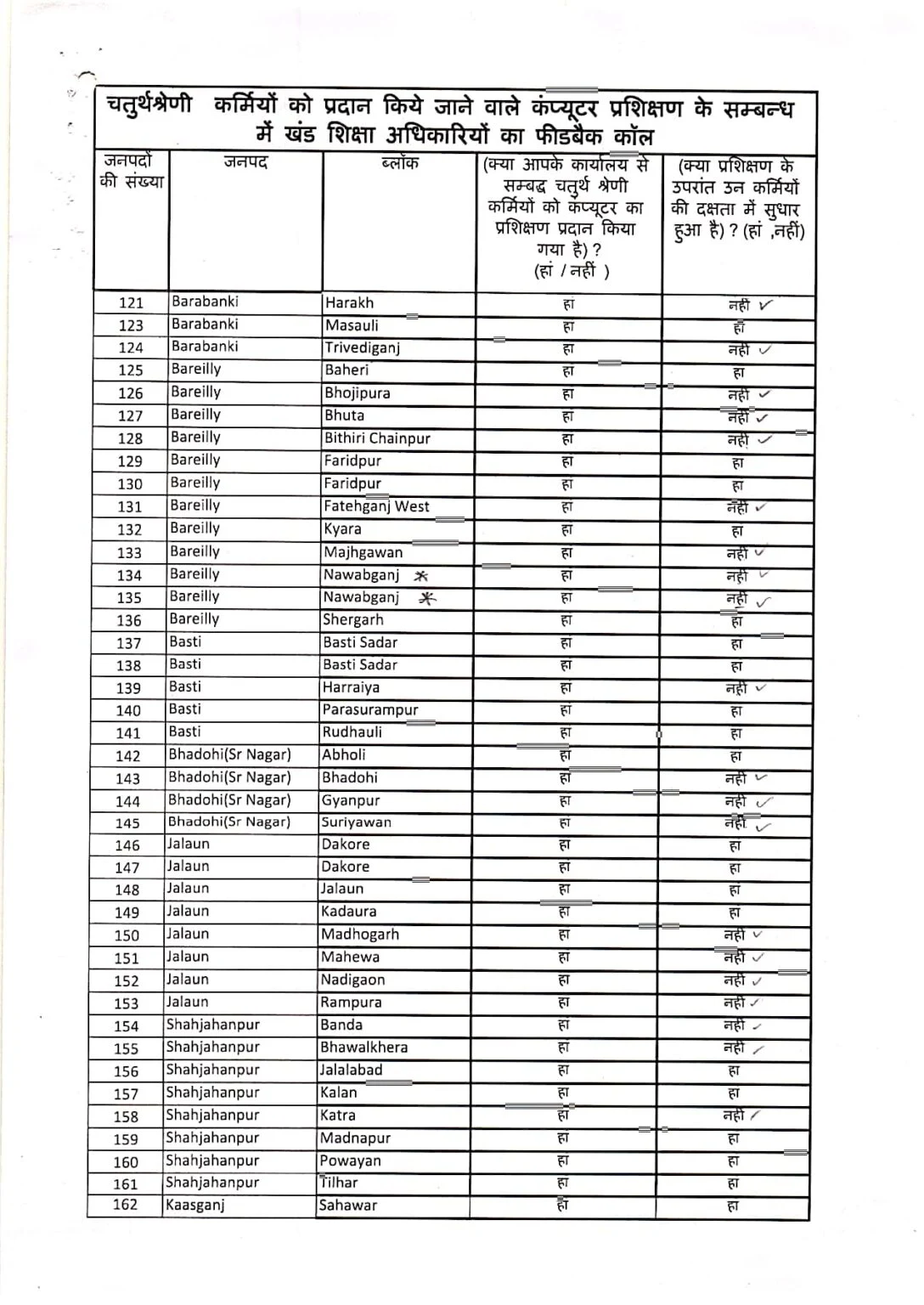
कंप्यूटर प्रशिक्षण के उपरांत दक्षता में सुधार नहीं प्राप्त करने वाले चतुर्थ श्रेणी कार्मिकों को 01 माह में पुनः प्रशिक्षित करने का आदेश | Proficiency after computer training 2022

कंप्यूटर प्रशिक्षण के उपरांत दक्षता में सुधार नहीं प्राप्त करने वाले चतुर्थ श्रेणी कार्मिकों को 01 माह में पुनः प्रशिक्षित करने का आदेश | Proficiency after computer training 2022

और नया पुराने