ARP SRG DIET MENTOR TRAVEL ALLOWANCE 2022 | एआरपी, एसआरजी, डायट मेंटर हेतु यात्रा भत्ता/ मोटिलिटी भत्ता हेतु बजट जारी

ARP SRG DIET MENTOR TRAVEL ALLOWANCE 2022 | एआरपी, एसआरजी, डायट मेंटर हेतु यात्रा भत्ता/ मोटिलिटी भत्ता हेतु बजट जारी

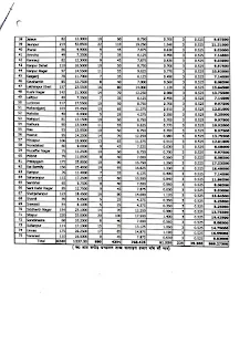
ARP ,SRG , और डायट मेंटर द्वारा विद्यालयों का सपोर्टेड सुपर विजन करने के लिए मोटिलिटी भत्ता ( TA ) अप्रैल से नवंबर 2022 के भुगतान हेतु बजट प्रेषण के संबंध में।




और नया पुराने