कस्तूरबा गाँधी आवासीय बालिका विद्यालयों के लिए बजट आवंटन विषयक आदेश जारी | Kasturba School Budget 2023
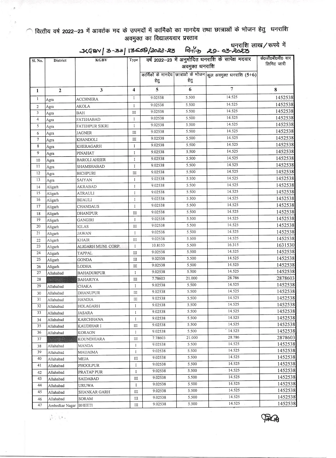
वार्षिक कार्ययोजना एवं बजट 2022-23 में कस्तूरबा गाँधी आवासीय बालिका विद्यालयों के आवर्तक मद में अनुमोदित धनराशि के सापेक्ष धनराशि अवमुक्त किये जाने के सम्बन्ध में ।
Tags:
Govt Order














