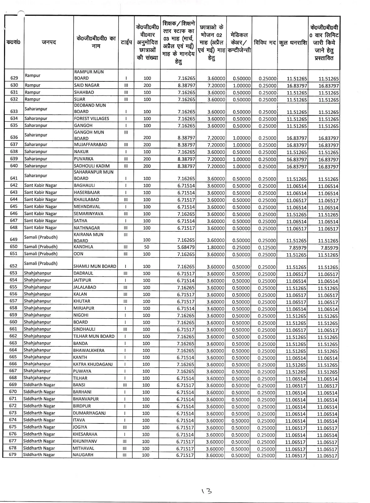
मुख्यपृष्ठGovt Order कस्तूरबा गांधी बालिका विद्यालय योजना मे वित्तीय वर्ष 2023-24 में आवश्यक मदों में व्ययों के भुगतान के सम्बन्ध में। Kasturba Gandhi Residential School byAdmin •मई 14, 2023 कस्तूरबा गांधी बालिका विद्यालय योजना मे वित्तीय वर्ष 2023-24 में आवश्यक मदों में व्ययों के भुगतान के सम्बन्ध में। Kasturba Gandhi Residential School Tags: Govt Order Facebook Twitter