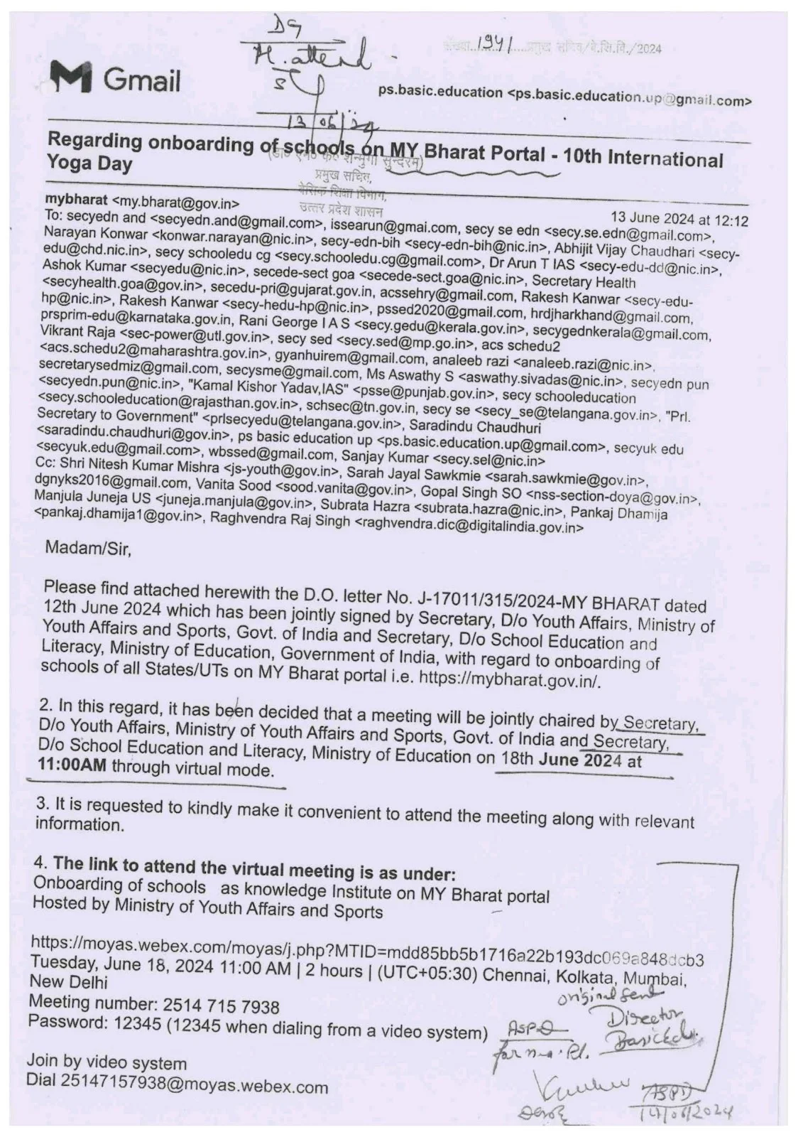
योग सप्ताह 2024 (15 जून, 2024 से 21 जून, 2024 तक) एवं दशम् अन्तर्राष्ट्रीय योग दिवस (21 जून, 2024) के हर्षोउल्लास के साथ समारोहपूर्वक मनाये जाने के संबंध में
योग सप्ताह 2024 (15 जून, 2024 से 21 जून, 2024 तक) एवं दशम् अन्तर्राष्ट्रीय योग दिवस (21 जून, 2024) के हर्षोउल्लास के साथ समारोहपूर्वक मनाये जाने के संबंध में
byPrimary ka master
•









